LuOilAdd_SCH_DP31. Производство компонентов масел на НПЗ базовое. Учет попутных продуктов. Календарное планирование. Месяц по суткам.

Область включает основные стадии производства компонентов масел.

Нефть, поступающая на установки атмосферно-вакуумной трубчатки (АВТ) разделяется на фракции, для масляного производства используются фракции вакуумной перегонки – гудроны и вакуумные погоны. Гудроны проходят дополнительную очистку на стадии деасфальтизации. Затем вакуумные погоны и деасфальтизаты проходят селективную очистку. Продукты селективной очистки рафинаты далее очищаются на установках депарафинизации. Особенностью масляного производства является многовариантность – на одном и том же оборудовании может выпускаться несколько сортов продуктов, которые выделяют в варианты (режимы) работы установок.

Примечание. Далее приведено описание технологического оборудования и процессов для общего знакомства с данной предметной областью, ее понятиями и используемыми терминами. Как профессиональным технологам, так и имеющим общее представление о данной предмете это описание рекомендуется пропустить.

Описание Области A.Lu

подробнее…

Производство компонентов масел

Установки атмосферно-вакуумной трубчатки (АВТ) входят в состав цеха первичной переработки нефти, но поставляют сырье для производства компонентов масел (ПКМ). АВТ разделена на два блока — атмосферной и вакуумной перегонки.

Атмосферная перегонка предназначена для отбора светлых нефтяных фракций — бензиновой, керосиновой и дизельных, выкипающих до 360°С, потенциальный выход которых составляет 45-60% на нефть. Остаток атмосферной перегонки — мазут. Процесс заключается в разделении нагретой в печи нефти на отдельные фракции в ректификационной колонне — цилиндрическом вертикальном аппарате, внутри которого расположены контактные устройства (тарелки), через которые пары движутся вверх, а жидкость — вниз. Ректификационные колонны различных размеров и конфигураций применяются практически на всех установках нефтеперерабатывающего производства, количество тарелок в них варьируется от 20 до 60. Предусматривается подвод тепла в нижнюю часть колонны и отвод тепла с верхней части колонны, в связи с чем температура в аппарате постепенно снижается от низа к верху. В результате сверху колонны отводится бензиновая фракция в виде паров, а пары керосиновой и дизельных фракций конденсируются в соответствующих частях колонны и выводятся, мазут остаётся жидким и откачивается с низа колонны.

Вакуумная перегонка предназначена для отбора от мазута масляных дистиллятов на НПЗ топливно-масляного профиля, или широкой масляной фракции (вакуумного газойля) на НПЗ топливного профиля. Остатком вакуумной перегонки является гудрон.

Необходимость отбора масляных фракций под вакуумом обусловлена тем, что при температуре свыше 380°С начинается термическое разложение углеводородов (крекинг), а конец кипения вакуумного газойля — 520°С и более. Поэтому перегонку ведут при остаточном давлении 40-60 мм рт. ст., что позволяет снизить максимальную температуру в аппарате до 360-380°С.

Разряжение в колонне создается при помощи соответствующего оборудования, ключевыми аппаратами являются паровые или жидкостные эжекторы.

Каждая фракция выпускается одного или нескольких сортов; ими различаются варианты работы установок АВТ. Избыток некоторых фракций может сбрасываться в мазут.

Рисунок. Схема установки АВТ: 1 — трубчатая печь, работающая при атмосферном давлении; 2 -ректификационная колонна, работающая при атмосферном давлении; 3 — газоотделитель; 4 — теплообменники; 5 — трубчатая печь, работающая при пониженном давлении; 6 — ректификационная колонна, работающая при пониженном давлении; 7 — насосы; 8 — холодильники.

Установки пропановой деасфальтизации гудрона (заруб. — сольвентная деасфальтизация) предназначены для удаления из нефтяных остатков смолисто-асфальтеновых веществ и полициклических ароматических углеводородов с повышенной коксуемостью и низким индексом вязкости. В качестве сырья используются гудроны «маслянистых» нефтей. Целевыми продуктами являются деасфальтизаты, используемые для выработки остаточных масел, а побочными продуктами асфальты (битумы ДА), служащие сырьем для производства битумов и других компонентов стройматериалов или компонентами котельных топлив.

Рисунок. Установка деасфальтизации гудрона. Принципиальная схема

Установки селективной очистки масляных фракций и деасфальтизатов предназначены для удаления смолисто-асфальтеновых веществ и полициклических ароматических углеводородов из масел с целью повышения их индекса вязкости и снижения коксуемости (фактически, деароматизация масел). В качестве сырья используются масляные дистилляты вакуумной перегонки мазутов, деасфальтизаты гудронов. Целевыми продуктами являются рафинаты, которые направляются на депарафинизацию с целью улучшения низкотемпературных свойств масел, а побочными продуктами – экстракты (фактически, концентраты ВМ-полиароматики), которые используются как сырье для производства битумов, технического углерода, нефтяных коксов и т.д.

Рисунок. Установка селективной очистки масел. Принципиальная схема

Установки депарафинизации рафинатов кристаллизацией предназначены для удаления из рафинатов высокоплавких парафиновых углеводородов с целью получения масел с низкими температурами застывания.

Различают процессы обычной ДП с получением масел с температурой застывания от -10 до -15°С и глубокой ДП с получением масел с температурой застывания -30 °С и ниже. Процесс представляет собой одну из разновидностей процесса экстракции – экстрактивную кристаллизацию – и основан на разной растворимости углеводородных компонентов масел в некоторых растворителях при низких температурах. Является наиболее трудный процесс в производстве нефтяных масел.

Альтернативой кристаллизации – гидрокаталитическая депарафинизация (селективный гидрокрекинг).

Целевыми продуктами являются депарафинизаты – депарафинированные дистиллятные и остаточные масла, а побочными продуктами – гачи из дистиллятного и петролатумы из остаточного сырья, направляемые на обезмасливание с получением, соответственно, парафинов и церезинов–сырья многих отраслей промышленности.

Рисунок. Установка депарафинизации масел. Принципиальная схема

кратко

Особенности Объекта O.LuOilAdd

См. Объект O.LuOil. Производство компонентов масел на НПЗ базовое. Без учета попутных продуктов.

Учитываются попутные продукты установок – асфальт, экстракты, гач, парафин, не влияющие на график работы установки. На операциях выполняется уравнение материального баланса.

Описание Объекта O.LuOilAdd

подробнее…

См. Объект O.LuOil. Производство компонентов масел на НПЗ базовое. Без учета попутных продуктов.

Отличия:

  В операции установок АВТ «АВТ-1», «АВТ-2», «АВТ-4», «АВТ-5 о1», «АВТ-5 23» добавлены потоки, отражающие потери и описываемые емкостью «Потери» нарастающим итогом.

  В операции установок деасфальтизации гудрона «36/1», «36/2», «36/3», добавлены потоки попутного продукта «Асфальт» и потери.

  В операции установок селективной очистки масел «37/1», «37/2», «37/3», «37/4», «37/5», добавлены потоки попутного продукта «Экстракт» и потери.

  В операции установок депарафинизации «39/1», «39/2», «39/3», «39/4», добавлены потоки попутного продукта «Гач» в производстве «Д/м 1», «Д/м 2», «Д/м -22», «Д/м 3», «Д/м осн.», попутного продукта «Петролатум» в производстве «Д/м.ост.» и потери.

Схема Объекта

Рисунок. Фрагмент потоковой схемы объекта «с именами»

кратко

Особенности Решения S.LuOilAdd_SCH_DP31.

Особенности Задачи

См. Решение S.LuOil_SCH_DP31. Производство компонентов масел на НПЗ базовое. Без учета попутных продуктов. Календарное планирование. Месяц по суткам.

Исходные данные

подробнее…

Вакуумная часть АВТ

Рисунок. Фрагмент формы – стадия, установка, операция, поток

Деасфальтизация гудрона

Рисунок. Фрагмент формы – установка, операция, поток

Примечание. Заданный график ремонта установки «36/2» выделен серым

Селективная очистка

Рисунок. Фрагмент формы – стадия, установка, операция, поток

Депарафинизация

Рисунок. Фрагмент формы – стадия, установка, операция, поток

кратко

Результаты решения

подробнее…

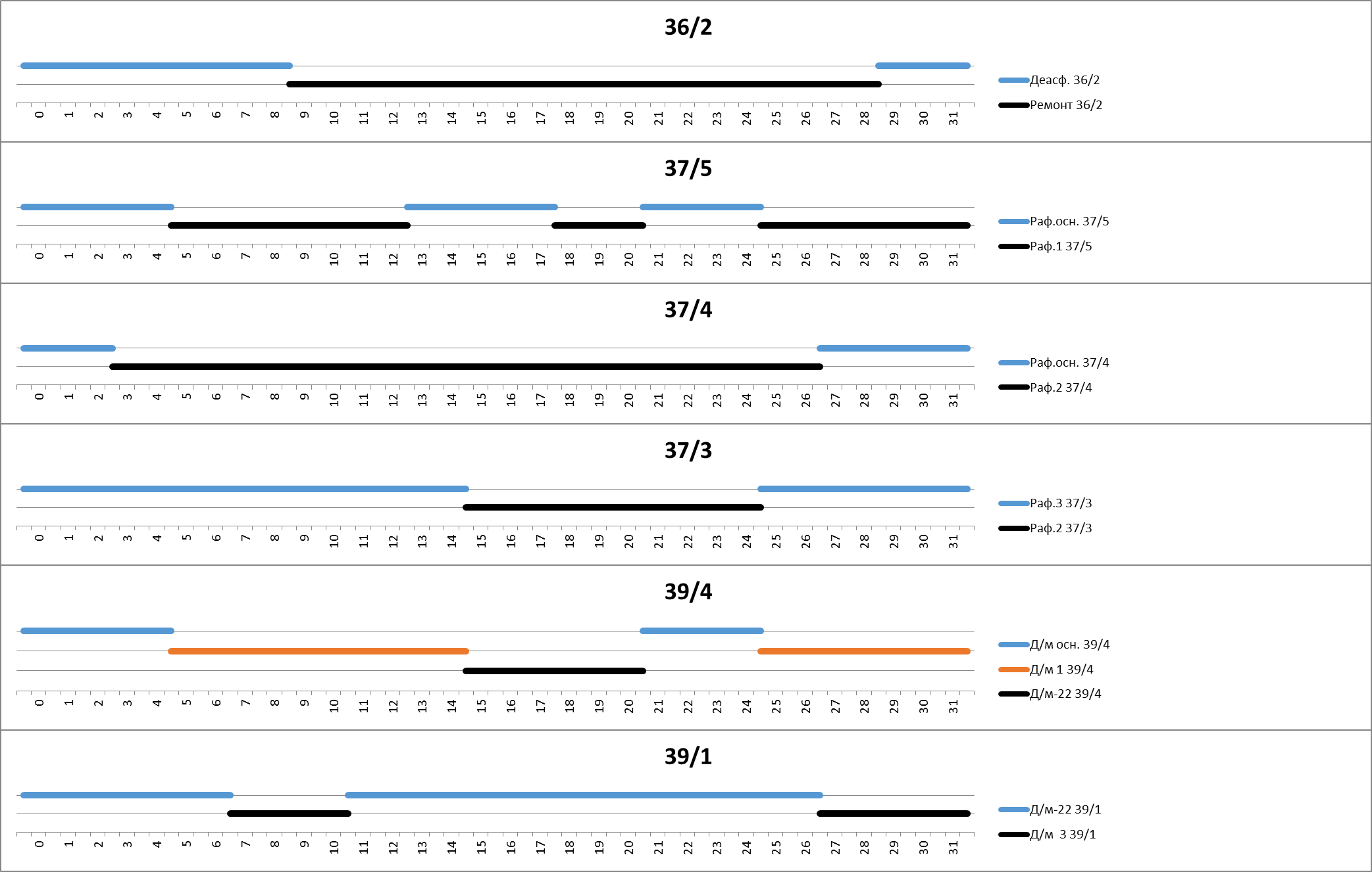
Фрагменты расписания

Рисунок. Фрагмент расписания выполнения операций

Графики запасов в емкостях

Нефть и гудрон убывающим итогом

Рисунок. Фрагмент расписания уровня запасов в емкостях

Запасы масляных погонов в резервуарах

Рисунок. Фрагмент расписания уровня запасов в емкостях

Запасы деасфальтизата в резервуарах и асфальта нарастающим итогом

Рисунок. Фрагмент расписания уровня запасов в емкостях

Запасы рафинатов в резервуарах и экстракта нарастающим итогом

Рисунок. Фрагмент расписания уровня запасов в емкостях

Запасы депарафинированных масел, гача, петролатума и потерь нарастающим итогом

Рисунок. Фрагмент расписания уровня запасов в емкостях

Объяснения решения

Рисунок. Фрагмент трассы объяснений хода рассуждений Решателя DP

кратко