См. Область A.Lu. Производство компонентов масел на НПЗ базовое.
Отличие от области A.Lu:
Отсутствует моделирование установок АВТ, за счет чего повышена точность и детальность описания основных процессов производства компонентов масел – деасфальтизации гудрона, селективной очистки деасфальтизатов и вакуумных погонов и депарафинизации рафинатов.
Особенности Объекта O.Nor
Не учитывается:
• Стадии включающие установки гидроочистки, контактной очистки, которые могут перерабатывать по несколько сортов сырья одновременно; потери от переключений на них незначительны.
• Стадии смешения масел, поскольку для участков смешения масел характерны жесткие рецептуры (варианты смешения) и совместное планирование производства компонентов и цеха смешения масел принципиально не меняет постановку задачи.
• Попутные продукты установок – асфальты, экстракты, гачи, парафины и потери, не влияющие на графики работы установок.
Учитывается «сброс» потока – отключению связи, если допустимо избыток некоторых продуктов «сбрасывать» в мазут.
Описание Объекта O.Nor
подробнее…
Модель производства включает стадии
Деасфальтизация гудрона, состоящий из установки деасфальтизации гудрона «36/1», потребляющие гудрон убывающим итогом из емкости «Гудроны», для производства деасфальтизатов в емкость «Деасф.», причем возможен сброс избытка продукции в общую линию (мазут).
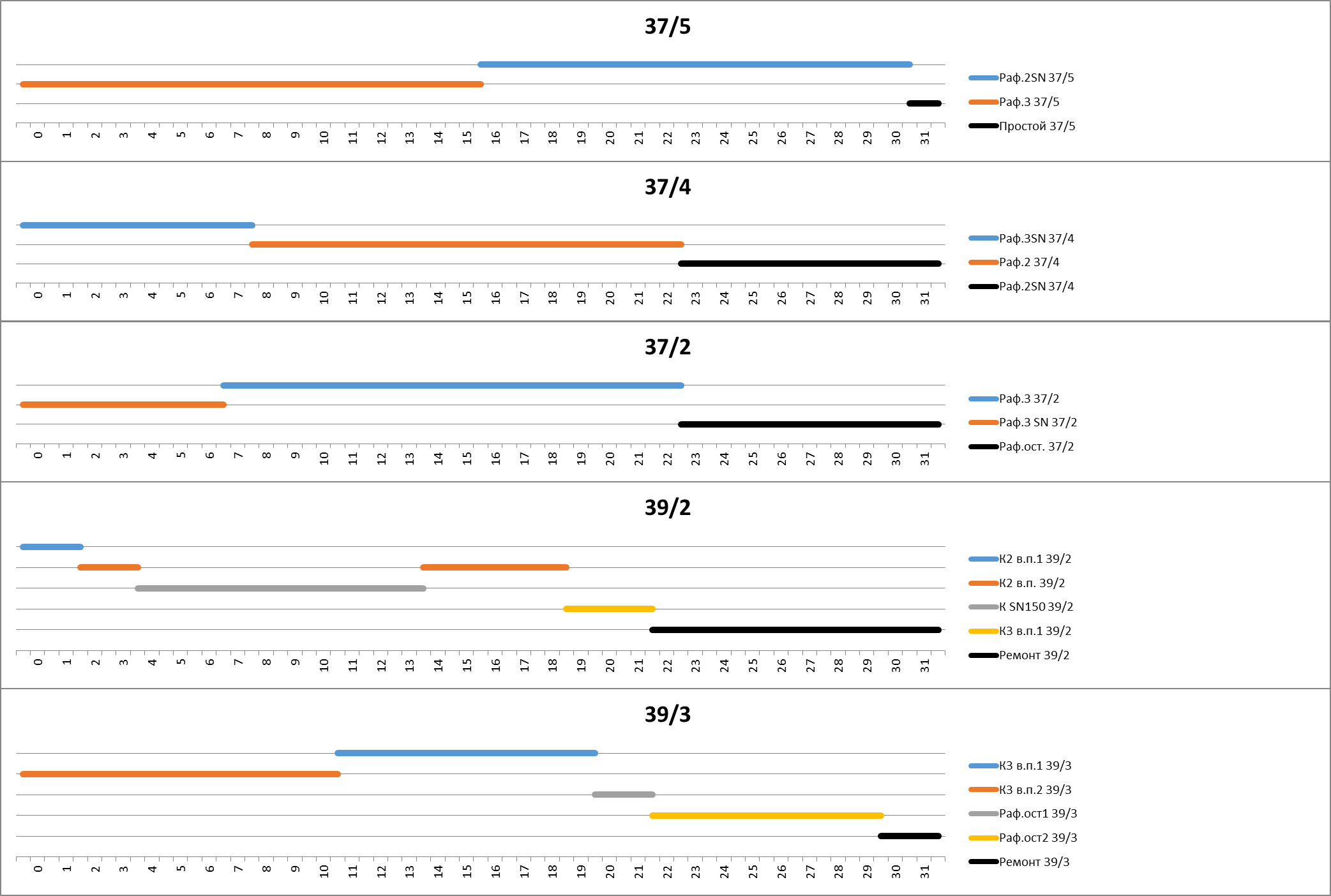
Селективная очистка компонентов масел, состоящей из установок селективной очистки масел «37/2», «37/4», «37/5», потребляющие деасфальтизат из емкости «Деасф-т» и масляные погоны из емкостей «П.ср.вяз» и «П.вязкие» для производства рафинатов различных видов: «Раф.2 SN» со сбросом избытка в общую линию, «Раф.2SAE», «Раф.2» из масляного погона 2 вида «П.ср.вяз»; «Раф.3» со сбросом избытка в общую линию, «Раф.3 SN» из «П.вязкие»; и «Раф.ост.» из «Деасф-т». Каждый вид рафината выпускается отдельной операцией установки, причем установка могут выпускать несколько видов рафината, но одновременно может работать только на одном.
Депарафинизация компонентов масел состоящей из установок депарафинизации «39/2», «39/3», потребляющие рафинаты разных видов для производства депарафинированных компонентов масел различных видов: «К2 в.п.1» и «К2 в.п.» из «Раф.2», «К SN150», «К3 в.п.2» из «Раф.3 SN», «К3 в.п.1» из «Раф.3», «К Остат1», «К Остат2» из «Раф.ост.».
Схема Объекта

Рисунок. Потоковая схема объекта «со стрелками»
кратко
Особенности Решения S.Nor_SCH_DP31.
Особенности Задачи
Смена операции на установке соответствует изменению сырья и (или) продуктов, т.е. переключению связей установки с резервуарами, ремонт – отключению элемента.
Для установок ПКМ желательна работа в постоянном режиме.
Критерий задачи – минимум потерь от переключений.
Исходные данные
подробнее…
Деасфальтизация гудрона

Рисунок. Фрагмент формы – стадия, установка, операция, поток
Селективная очистка

Рисунок. Фрагмент формы – стадия, установка, операция, поток
Депарафинизация

Рисунок. Фрагмент формы – стадия, установка, операция, поток
Сырьевые емкости убывающим итогом и продукт стадии деасфальтизации – деасфальтизат гудрона.

Рисунок. Фрагменты формы – стадия, емкость
Примечание. У промежуточной емкости под деасфальтизат разрешен сброс избытка в общую линию (мазут)
Промежуточные емкости под рафинаты селективной очистки

Рисунок. Фрагменты формы – стадия, емкость
Примечание. Для некоторых рафинатов разрешен сброс избытка в общую линию (мазут). Для емкости «Раф.2 SN» динамическая граница – до 28 интервала – 6000, после – 7000.
Компоненты масел нарастающим итогом

Рисунок. Фрагменты формы – стадия, емкость
кратко
Результаты решения
подробнее…
Фрагменты расписания

Рисунок. Фрагмент расписания выполнения операций
Потребление гудрона, масляных погонов убывающим итогом


Рисунок. Фрагмент расписания уровня запасов в емкостях
Запасы деасфальтизата и рафинатов в резервуарах


Рисунок. Фрагмент расписания уровня запасов в емкостях
Примечание. На графике заметна динамическая граница для «Раф.2 SN»
Запасы депарафинированных масел нарастающим итогом



Рисунок. Фрагмент расписания уровня запасов в емкостях
Объяснения решения

Рисунок. Фрагмент трассы объяснений хода рассуждений Решателя DP
кратко
